Η χαλάρωση του στόχου μηδενικών εκπομπών στην Ε.Ε. ανοίγει τον δρόμο για περισσότερα Plug-in Hybrid μετά το 2035. Όμως τα στοιχεία δείχνουν ότι η κατανάλωσή τους στην πράξη διαφέρει δραματικά από τις επίσημες τιμές.
Η Ε.Ε. εξετάζει το ενδεχόμενο χαλάρωσης του στόχου μηδενικών εκπομπών για τα νέα αυτοκίνητα από το 2035. Αν αυτό συμβεί, σχεδόν τα μισά νέα μοντέλα θα μπορούσαν να είναι ακόμη εξοπλισμένα με κινητήρα εσωτερικής καύσης, κυρίως μέσω της τεχνολογίας Plug-in Hybrid.
Όμως τα δεδομένα δείχνουν ότι οι πραγματικές εκπομπές των PHEV είναι πολύ υψηλότερες από τις εργοστασιακές τιμές – και πολύ δύσκολο να υπολογιστούν με ακρίβεια.
Το σχέδιο για σταδιακή κατάργηση των αυτοκινήτων με κινητήρα εσωτερικής καύσης από το 2035 ψηφίστηκε στην Ευρωπαϊκή Ένωση το 2022, αλλά τα τελευταία δεδομένα δείχνουν μετατόπιση. Τον Δεκέμβριο του 2025, η Ευρωπαϊκή Επιτροπή πρότεινε την αναθεώρηση του στόχου από 100% σε 90% μείωση των εκπομπών CO₂ σε σύγκριση με το 2021.
Η μεταβολή αυτή αφήνει «παράθυρο» για νέα οχήματα με κινητήρα εσωτερικής καύσης, εφόσον πληρούν συγκεκριμένες προϋποθέσεις. Τα Plug-in Hybrid οχήματα (PHEV) βρίσκονται στο επίκεντρο αυτής της νέας ισορροπίας.
Το βασικό πρόβλημα είναι ότι η πραγματική κατανάλωση καυσίμου και οι αντίστοιχες εκπομπές CO₂ των PHEV εξαρτώνται σε μεγάλο βαθμό από το πώς χρησιμοποιούνται στην πράξη. Επίσημα, οι μετρήσεις βασίζονται στον κύκλο WLTP, ο οποίος υποθέτει ποσοστά χρήσης ηλεκτρικής ενέργειας έως και 85%.
Ωστόσο, στην πραγματικότητα, οι οδηγοί συχνά δεν φορτίζουν τακτικά το όχημά τους ή κάνουν μεγάλες διαδρομές με τον θερμικό κινητήρα. Αυτό οδηγεί σε σημαντικές αποκλίσεις. Από το 2022, όλα τα νέα αυτοκίνητα στην Ε.Ε. διαθέτουν On-Board Fuel Consumption Monitor (OBFCM), έναν καταγραφέα πραγματικής κατανάλωσης.
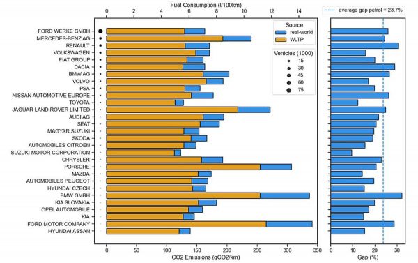
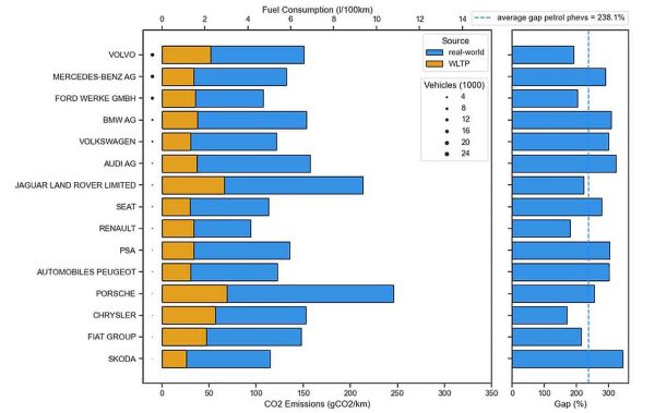
Τα δεδομένα που συγκέντρωσε ο οργανισμός Transport & Environment (T&E) έδειξαν ότι τα PHEV που μετρήθηκαν το 2023 είχαν μέσο πραγματικό CO₂ 139 g/km, ενώ η εργοστασιακή τιμή ήταν μόλις 28 g/km. Μιλάμε για απόκλιση σχεδόν 500%, η οποία δεν προκύπτει από λάθος αλλά από την ίδια τη φύση της τεχνολογίας.
Αν η Ε.Ε. αποδεχθεί τον στόχο για 90% μείωση εκπομπών, τότε οι κατασκευαστές θα πρέπει να φτάσουν μέσο όρο στόλου τα 11 g CO₂/km. Αν, για παράδειγμα, ένα PHEV εμφανίζει εργοστασιακή τιμή 25 g/km (όπως το BMW 330e), τότε θεωρητικά θα μπορούσε να καλύψει έως και 46% των πωλήσεων το 2035.
Όμως το ίδιο BMW, όταν οδηγείται χωρίς φορτισμένη μπαταρία, καταναλώνει έως και 8,6 λίτρα βενζίνης ανά 100 χλμ., κάτι που αντιστοιχεί σε πάνω από 200 g CO₂/km. Για να επιτευχθεί ο στόχος των 11 g/km, θα έπρεπε ο οδηγός να κινείται με ηλεκτρική ενέργεια για το 95% της χρήσης του, κάτι μη ρεαλιστικό.
Η Ε.Ε. προσπαθεί να ενσωματώσει την πραγματική χρήση μέσω του λεγόμενου Utility Factor (UF), που συνδέει την κατανάλωση με το ποσοστό ηλεκτρικής οδήγησης. Μέχρι το τέλος του 2024, το UF για μοντέλα με ηλεκτρική αυτονομία πάνω από 100 χλμ., προέβλεπε ότι κινούνται ηλεκτρικά σε ποσοστό 90%.
Από το 2025, το ποσοστό μειώνεται σε 66%, και από το 2027 αναμένεται να πέσει στο 44%. Αυτή η σταδιακή προσαρμογή αναγνωρίζει την πραγματικότητα, αλλά συναντά αντιδράσεις από τους κατασκευαστές, όπως ο γερμανικός σύνδεσμος αυτοκινητοβιομηχανίας (VDA), που επιμένει ότι οι προβλέψεις είναι υπερβολικά αυστηρές.
Το κεντρικό ζήτημα είναι ότι όσο χαλαρώνει ο στόχος, τόσο μεγαλώνει το περιθώριο να αυξηθούν οι πωλήσεις PHEV, και άρα και οι εκπομπές στην πράξη. Αν δεχτούμε την εκτίμηση του T&E με 139 g/km μέσο όρο για τα PHEV, τότε το 46% μερίδιο το 2035 θα οδηγούσε σε μέσο όρο εκπομπών στόλου 64 g CO₂/km – δηλαδή αύξηση κατά 580% σε σχέση με τον στόχο.
Ακόμη και με αισιόδοξα σενάρια, όπως μικρότερους κινητήρες και πιο αποτελεσματική φόρτιση, δύσκολα πέφτει ο πραγματικός μέσος όρος κάτω από 70 g/km. Σε αυτό το σενάριο, το μερίδιο PHEV στον στόλο το 2035 θα έπρεπε να περιοριστεί περίπου στο 15% για να μην παραβιάζεται ο στόχος.
Η καταγραφή των πραγματικών τιμών μέσω OBFCM θα μπορούσε να προσφέρει μια λύση, αλλά αυτό προϋποθέτει συλλογή, ανάλυση και χρήση των δεδομένων με θεσμικό τρόπο. Κι εκεί αρχίζουν τα πολιτικά και οικονομικά διλήμματα: θα πρέπει να επιβληθούν πρόστιμα στους κατασκευαστές που δεν τηρούν τους στόχους, σε μια περίοδο που η αυτοκινητοβιομηχανία ήδη πιέζεται οικονομικά και βρίσκεται στη μέση της μετάβασης προς την ηλεκτροκίνηση.
Η απόφαση της Ε.Ε. να μεταβεί από το «μηδενικές εκπομπές» στο «90% μείωση εκπομπών» ουσιαστικά ανοίγει τον δρόμο για μια μεγαλύτερη παρουσία PHEV μετά το 2035. Ωστόσο, με βάση την τρέχουσα τεχνολογία και τα πρότυπα χρήσης, τα PHEV παρουσιάζουν μια δομική αδυναμία: η απόδοσή τους εξαρτάται από τον οδηγό. Αν δεν φορτίζονται τακτικά και δεν αξιοποιείται η ηλεκτρική αυτονομία τους, τότε δεν προσφέρουν την αναμενόμενη μείωση εκπομπών.




